电子娱乐城 研究生队参加西安交通大学消防运动会
金秋外语节法语语音比赛顺利举行
“深耕细作,持续突破”——电子娱乐城 召开学科发展规划研讨会
电子娱乐城 党委学习贯彻十九届六中全会精神
电子娱乐城 第二次研究生代表大会顺利召开
陕西赛区决赛在我校举行
“国别与区域研究系列讲座”第七期顺利举办
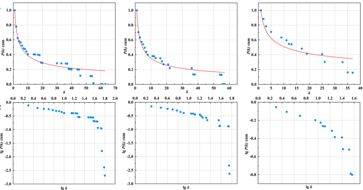
电子娱乐城-电子博彩导航 翻译研究团队在机器翻译 文本特征的研究上取得突破
我校举行汉语国际教育硕士专业学位点专家论证会
电子娱乐城 邀请高端国际专家开展学术活动